دعت دراسة علمية لباحثين من جامعة بيروت العربية والجامعة الأميركية في بيروت إلى إغلاق عام في لبنان لاحتواء الإنتشار السريع لوباء كوفيد 19 وإبطاء معدل نمو الحالات في غياب أي لقاح حتى الآن.
واستندت الدراسة الى تحليل بيانات الوقوع الفعلي real time incidence data للأصابات التي نشرتها وزارة الصحة وفقا لنظام بواسون الإحصائي الذي أعطى النتائج العلمية المستندة الى أرقام نمو الحالات وانخفاضها.
وأجرت الدراسة الباحثة في كلية العلوم الصحية في جامعة بيروت العربية الدكتورة فاطمة صالح بالتعاون مع الدكتور سامر خروبي من الجامعة الأميركية في بيروت ونشرت في عدد خاص للمجلة العلمية العالمية المرموقة “Frontiers in Public Health الذي خصص لسياسات الصحة العامة ومواجهة انتشار وباء كوفيد 19 .
ودعت الدراسة إلى العودة الى الإغلاق العام الذي اتبعه لبنان وكان فعالاً في مواجهة الوباء وإبطاء معدل نمو الحالات وتقليل احتمالات الإصابة بسرعة واتخاذ تدابير للإقفال والتطبيق الصارم لها على أن يقترن بزيادة الاختبارات وإتاحتها مجانا ، وتتبع المصادر الوبائية وتأمين الدعم الإقتصادي والإجتماعي المتنوع للمواطنين لضمان الامتثال بالإجراءات وتعزيزها.
أما بالنسبة لمدة الاغلاق العام فترتبط بقدرة السلطات على احتواء انتشار الفيروس والمراقبة المستمرة وتقدير الموقف علميا وصحيا ليبنى على ضوء النتائج قرارات الاستمرار بالإجراءات او رفعها تدريجيا أو كليا.
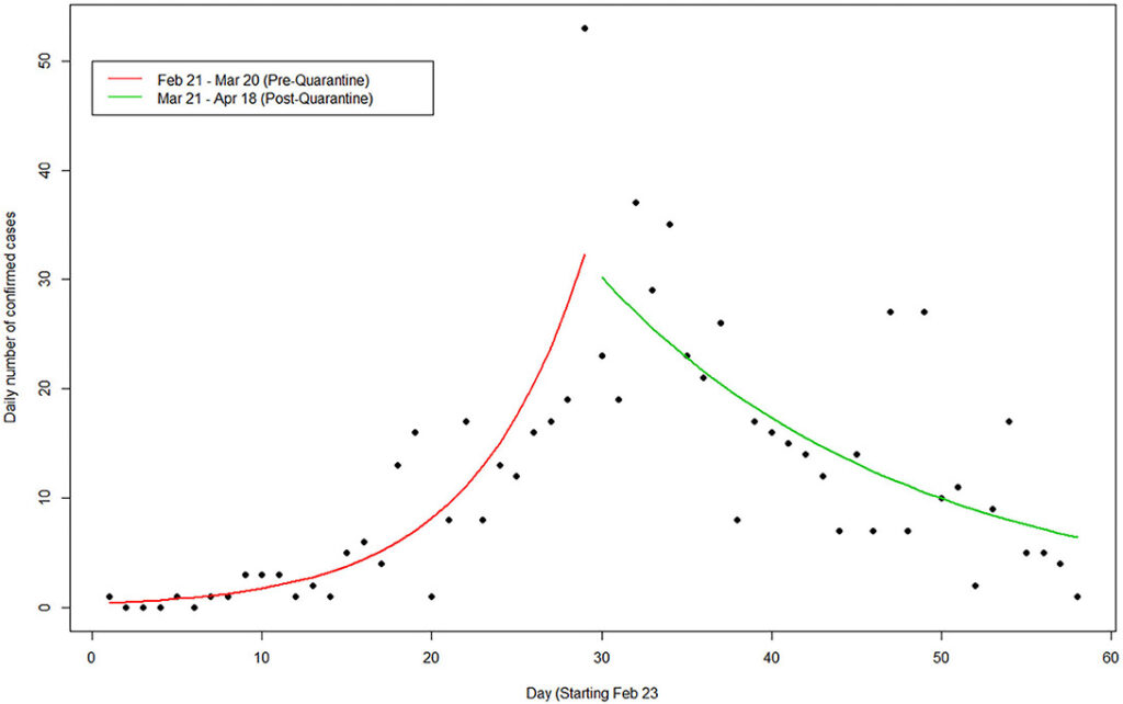
وانتهت الدراسة الى لفت النظر الى ان لبنان ، البلد الصغير ، الذي يتأرجح على حافة الخراب الاقتصادي والفوضى السياسية ، قد أدى بطريقة ما شيئًا صحيحًا وفي الوقت المناسب خلال أشهر محددة ، ويستطيع لبنان تقديم نموذج جديد كان قد اختبر سابقا لمواجهة فيروس كوفيد 19 وقد أدت نتائجه بتشكيل استراتيجيات لمواجهة الوباء في بلدان أخرى مرفق صورة رسم بياني تظهر مراحل سابقة من انتشار الوباء واحتوائه في لبنان
يمكن الإطلاع على الدراسة من خلال الرابط التالي:
https://www.frontiersin.org/articles/10.3389/fpubh.2020.549692/full
للمزيد من المعلومات يمكن التواصل مع الدكتورة فاطمة صالح:
[email protected]
70 83 93 94
01300110- ext : 2747
شريط الأخبار
- لبنان فاز على سوريا ودياً في افتتاح ملعب الفيحاء بدمشق
- الشرع :عانينا كثيرا من الحرب وحان الوقت لننتقل ولبنان الى مرحلة الإعمار
- تدابير سير ومنع مرور لمدّة أسبوع… إليكم التفاصيل
- تعيين الشيخ إسماعيل دلّي مستشاراً في المحكمة الشرعية السنية العليا في لبنان
- طلاب LAU يفوزون بجوائز نموذج الأمم المتحدة بجامعة هارفارد 2026
- تحرّكات إسرائيلية نحو وادي الحجير وجبل الشيخ اليكم البلدات التي تقع ضمن نطاق الخط الأصفر
- السيدة سهام دلول في ذمة الله ونجلها الدكتور نزار يرثيها بكلمات مؤثرة
- “القرار اللبناني ليس للبيع”… “المستقبل” يردّ على ولايتي: لا وصاية بعد اليوم
